|   | | Lecture 41, May 6 | Spring 2020 |  |   | 
| Lecture Notes: | pdf file | 
|---|---|
| Zoom: | https://illinois.zoom.us/j/674160360 | 
| Video Recording: | ASTR 507 Channel | 
| Baryon Acoustic Oscillations
 Gravitational Lensing and the Dark Universe
 The Intergalactic Medium and Reionization
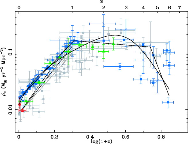
 The Cosmic History of Star Formation
 Finale: Looking to the Future |     |